По данным Роспотребнадзора, частота контактов населения РФ с иксодовыми клещами остается на высоком уровне: ежегодно в медицинские организации по поводу присасывания иксодовых клещей обращаются более 500 000 чел. В структуре заболеваемости природно-очаговыми инфекциями в РФ на протяжении последних 20 лет ежегодно более 50% приходится на инфекции, передающиеся иксодовыми клещами (ИПК) [1].
На территории Южного федерального округа (ЮФО) доля ИПК в общей структуре природно-очаговых инфекций составляет порядка 75%, при этом почти половина заболевших – жители Астраханской области (АО) [2].
Наиболее тяжело протекающей ИПК арбовирусной этиологии на территории АО является Крымская геморрагическая лихорадка (КГЛ). Среднемноголетний показатель заболеваемости по области в 5–10 раз выше аналогичного показателем по РФ. В свою очередь, одной из доминирующих инфекций риккетсиозной этиологии является Астраханская пятнистая лихорадка (АПЛ), о которой стало известно с конца 70-х гг. прошлого века [3–6].
Для научного обоснования планирования и качественного проведения профилактических и противоэпидемических мероприятий при ИПК важно определить прогностический уровень заболеваемости и выявить факторы риска осложнения эпидемической ситуации. Время диктует требование применять и внедрять новые модели прогнозирования ситуации и развития эпидемического процесса, поэтому разработка и использование методов математического моделирования на современном этапе очень актуальны.
Цель работы – клинико-эпидемиологическая характеристика и разработка системы моделей прогнозирования проявлений эпидемического процесса КГЛ и АПЛ (на примере АО).
Материалы и методы
Проанализированы данные первичной медицинской документации (форма № 058/у), федерального статистического наблюдения (формы № 2, № 357/у, № 003/у) по АО за 2000–2020 гг. Для ретроспективного эпидемиологического анализа изучены абсолютные и интенсивные показатели заболеваемости населения по возрастным и профессиональным группам, а также среди городского и сельского населения.
По данным среднемноголетних показателей заболеваемости населения было проведено картографирование территории АО. Влияние природно-климатических условий на эпидемический процесс КГЛ и АПЛ оценивали по метеорологическим данным (количеству осадков, температуре воздуха и др.). Анализировали материалы многолетнего наблюдения за очагами в 11 районах АО и г. Астрахани.
Исследование носило комплексный многолетний характер: применяли общенаучные подходы и специальные методы классической эпидемиологии (описательные и аналитические), энтомологические, лабораторные (общеклинические, иммунологические, серологические, молекулярно-биологические), статистические и методы математического моделирования.
В работе использовались методы описательной статистики с оценкой значимости различий показателей по соответствующим критериям; регрессионный, корреляционный, факторный анализ. Достоверность определяли с использованием t-критерия Стьюдента. Различия считали статистически значимыми при t > 2, p < 0,05. Инструментом для их применения послужили программы Microsoft Excel 2018 и пакет прикладных программ «Statistica for Windows 10».
Использованы следующие математические приемы:
- показатели динамики временных рядов распространения переносчиков возбудителей природно-очаговых заболеваний;
- построение прогноза уровня заболеваемости населения КГЛ и АПЛ в будущих периодах на основе корреляционно-регрессионных методов анализа;
- прогнозирование сезонных пиков численности иксодовых клещей в соответствии с нормальным законом распределения случайной величины;
- метод Крамера для создания итоговой математической модели прогнозирования проявлений эпидемического процесса КГЛ и АПЛ.
Статистическую обработку данных проводили с помощью пакета прикладных программ Microsoft® Office 2007.
Результаты
На территории АО за период 2000–2020 гг. существенно расширился ареал природных очагов КГЛ и АПЛ.
Так, в 2000–2004 гг. случаи заболевания КГЛ регистрировали в 3 сельских районах области и в г. Астрахани, в 2005–2009 гг. в эпидемический процесс были вовлечены уже 9 районов области, а к 2010 г. и по настоящее время заболеваемость регистрируется во всех 11 районах области.
За период 1990–2000 гг. случаи заболевания АПЛ отмечали в г. Астрахани и 3 районах области, в 2000–2012 гг. АПЛ регистрировали уже в 9 районах, а с 2013 г. и по настоящее время в эпидемический процесс вовлечены все 11 районов АО.
Заболеваемость КГЛ и АПЛ за 20 лет на территории АО распределялась неравномерно с максимальным подъемом показателей по КГЛ в 2005 г. (3,6 на 100 тыс. населения) и АПЛ в 2013 г. (38,9 на 100 тыс. населения). Спады заболеваемости КГЛ отмечены в 2013 и 2015 гг. (0,1 на 100 тыс. населения), АПЛ – в 2001 г. (13 на 100 тыс. населения). Уровень заболеваемости КГЛ в АО в период с 2000 по 2020 гг. был в 10,7 раза выше, чем в среднем по Российской Федерации (0,88 ± 0,2 и 0,082 ± 0,007 на 100 тыс. населения соответственно) (р < 0,01). За этот период на территории АО выявлены достоверная (р < 0,05) выраженная тенденция к снижению заболеваемости КГЛ (среднегодовой темп снижения -6,6%), и умеренная тенденция к росту заболеваемости АПЛ (среднегодовой темп роста – 3,9%). Среди заболевших преобладают сельские жители (66,8%), городские жители составляют 33,2%
Следует отметить, что АПЛ является эндемичной природно-очаговой инфекцией для территории АО, и показатели заболеваемости АПЛ составляют отчетные данные в целом по Российской Федерации.
Важным показателем контакта населения с природным очагом ИПК является количество обращений в медицинские организации по поводу присасывания иксодовых клещей. За 20 лет от присасывания клещей пострадали 34 085 чел. Среднемноголетний показатель обращаемости населения в медицинские организации области составил 137,2 на 100 тыс. населения (cм. рисунок).

Показатель обращаемости населения за медицинской помощью по поводу присасывания иксодовых клещей по ландшафтным зонам АО в исследуемый период был самым высоким в дельтовой и пойменной зонах (4,05 ± 0,2 на 100 тыс. населения), а самым низким – в пустынной ильменно-бугровой ландшафтной зоне (1,5 ± 0,1 на 100 тыс. населения). Среди обратившихся в медицинские учреждения взрослые составили 56,4 ± 1,4%, дети – 43,5 ± 2,6%.
Период массовых обращений населения по поводу присасывания клещей на территории АО длится со 2-й декады марта по 3-ю декаду октября и достигает максимума в мае.
Из 34 085 пострадавших от присасывания клещей 8249 (24,2%) чел. – туристы, посетившие АО. Особенно высока доля туристов среди обратившихся за помощью в Красноярском (56,8%) и Приволжском районах (45,7%). Приезжие контактируют с клещами в основном во время отдыха на природе. Местные жители в 75,8% случаев отмечают присасывания клещей непосредственно в своем населенном пункте или его окрестностях (в пределах 1 км от села).
Оценка внутригодовой динамики заболеваемости КГЛ на территории Астраханской области позволила выявить закономерные подъемы в весенне-летний период, достигая максимальных показателей в июне. Перед сезонным подъемом заболеваемости (с апреля по август) в открытых стациях регистрируется максимальное количество иксодовых клещей H. marginatum (r = 0,95; p < 0,01), что свидетельствует о прямой зависимости уровня заболеваемости населения КГЛ от активности переносчика инфекции.
В 2000–2020 гг. КГЛ регистрировали 12 административных территориях, в том числе в 11 сельских районах области и в г. Астрахань. Среднегодовые показатели заболеваемости широко варьировали в пределах территории области, от единичных случаев (Ахтубинский, Черноярский районы) до 61,8 на 100 тыс. населения в Приволжском районе и 53,3 на 100 тыс. населения в Красноярском районе. При распределении территорий риска (мест заражения) использовали интенсивные показатели заболеваемости (на 100 тыс. населения). В результате выделены 4 зоны: высокого риска заражения КГЛ (уровень риска 30 и выше) – 4 района (Приволжский, Красноярский, Харабалинский, Енотаевский,), среднего (уровень риска 20–30) – 2 (Камызякский, Лиманский), низкого (уровень риска 10–20) – 4 (Наримановский, Володарский, Икрянинский, Черноярский) и очень низкого (уровень риска ниже 10) – 2 (Ахтубинский, г. Астрахань).
Заражения КГЛ происходили во всех ландшафтных зонах АО: полупустынной, пустынной и внутризональной (дельтовая ландшафтная зона и Волго-Ахтубинская пойма). Наиболее высокий риск заражения отмечен в пойме р. Волги и в ее дельте, где показатели заболеваемости составляют 44,3 и 57,9 на 100 тыс. населения соответственно. Эти сведения указывают на различную степень интенсивности эпидемического процесса КГЛ в природных биотопах и подтверждают приуроченность природных очагов КГЛ к определенным территориям.
В общей структуре заболеваемости КГЛ с возрастом увеличивается и удельный вес разных возрастных групп: дети от 0 до 15 лет составляют 3%, подростки 16–19 лет – 4%, лица 20–29 лет – 15%, 40–49 лет – 25%, 60 лет и старше – 19%. Такой факт можно объяснить более частым контактом населения этих возрастных категорий с природным очагом КГЛ.
В эпидемический процесс при КГЛ вовлечены все социально-профессиональные группы населения. Среди 173 больных доля рабочих сельскохозяйственных предприятий и фермерских хозяйств составила 27,1 ± 4,1%, заняв 1-е место в социальной структуре заболеваемости. На 2-м месте находятся пенсионеры, которые инфицируются либо при уходе за домашним скотом, либо на дачных участках (21,2 ± 3,8%) и на 3-м – безработные, их доля составила 17,8 ± 3,5%. 84,7% заболевших проживают в сельской местности, на долю городского населения приходится 15,3% от общего числа заболевших в области.
В ходе исследования проведен анализ проявлений эпидемического процесса АПЛ за 20-летний период. Всего было зарегистрировано 4678 случаев АПЛ с лабораторным подтверждением диагноза в 100% случаев. С 2000 по 2020 гг. уровень заболеваемости возрос в 3 раза: с 13 до 38,9 на 100 тыс. населения. Среднемноголетний показатель заболеваемости составил 23,18 ± 1,5 на 100 тыс. населения. Подъемы заболеваемости были отмечены в 2000, 2002 и 2005–2007 гг. с пиком в 2013 г., причем каждый подъем сменялся резким снижением. Внутригодовая динамики заболеваемости АПЛ выявила закономерные подъемы в летне-осенний период, с мая по ноябрь, с максимальными показателями в сентябре. Случаи АПЛ начинают регистрировать с мая, в июне число заболевших возрастает в 4,7 раза. (р < 0,01). В июле идет незначительный спад заболеваемости по сравнению с июнем, однако статистически это снижение недостоверно (р > 0,05). В августе–сентябре число больных АПЛ возрастает по сравнению с предыдущими месяцами в 2,2 раза (р < 0,01). В сентябре зарегистрировано самое большое число заболевших – 398 чел. В октябре идет резкий спад заболеваемости в 3,6 раза (р < 0,01), в ноябре зарегистрированы единичные случаи заболевания (10 чел.). Отмечено, что сезонный подъем заболеваемости АПЛ начинается тогда, когда индекс обилия клещей Rhipicephalus pumilio достигает максимума. Выявлена прямая корреляционная зависимость между количеством иксодовых клещей в открытых стациях и числом заболевших АПЛ (rАПЛ = 0,827; p < 0,01). При исследовании природного очага АПЛ учитывались территориальное распределение случаев заболевания, качественный и количественный состав популяции клеща переносчика – R. pumilio, влияние ландшафтных условий и климатического фактора. Установлена тенденция к расширению ареала АПЛ: если в 1993 г. больные были зарегистрированы в г. Астрахани и 3 районах АО, то к 1999 г. случаи заболевания отмечены в г. Астрахани и уже в 9 сельских районах. С 2013 г. в эпидемических процесс вовлечены все 11 районов области. Случаи заболевания в период 2000–2020 гг. регистрировали в Красноярском (показатель заболеваемости – 125,4 ± 5,2 на 100 тыс. населения), Приволжском (65,1 ± 5,1), Харабалинском (64,3 ± 6,7), Наримановском (55,9 ± 2,5), Лиманском (16,1 ± 2,2) районах и г. Астрахани (15,6 ± 1,1) в течении 17 лет; в Енотаевском (27,8 ± 4,6) и Икрянинском (18,9 ± 2,7 ) – 16 лет, в Камызякском (10,4 ± 1,5) – 15 лет, в Володарском (5,6 ± 0,5) – 13 лет. В Ахтубинском районе первые 4 случая АГЛ зарегистрированы в 2009 г. (показатель заболеваемости – 3,03 ± 0,6 на 100 тыс. населения), в Черноярском районе был зарегистрирован только 1 случай в 2013 г. (показатель заболеваемости – 2,9 на 100 тыс. населения). Установлено, что расширение природного очага АПЛ произошло с юга на север, с востока на запад. Распределение территорий риска (мест заражения) проведено с использованием интенсивных показателей заболеваемости (на 100 тыс. населения). В результате выделены 5 зон: очень высокого риска заражения АПЛ (уровень риска 60 и выше на 100 тыс. населения) – 3 района (Красноярский, Приволжский, Харабалинский), высокого (уровень риска 30–60) – 2 района (Наримановский и Енотаевский), среднего (уровень риска 10–30 на 100 тыс. населения) – 3 района (Икрянинский, Лиманский и г. Астрахань), низкого (уровень риска 5–10) – 2 района (Камызякский, Володарский) и очень низкого (уровень риска 1–5) – 2 района (Ахтубинский, Черноярский).
При АПЛ случаи заражения происходили во всех ландшафтных зонах АО, чаще всего – в Волго-Ахтубинской пойме и дельте р. Волга. Из 4678 случаев заражений на Волго-Ахтубинскую пойму приходится 1453 (36,7%), показатель заболеваемости составил 72,4 на 100 тыс. населения. В дельтовой зоне зарегистрировано 1368 (34,6%) случаев заражения АПЛ, показатель заболеваемости – 69,8 на 100 тыс. населения. Заболеваемость АПЛ в анализируемый период отмечены во всех административных территориях области, но с разной степенью интенсивности эпидемического процесса. и Природные очаги АПЛ были приурочены к определенным территориям, их ареал расширился.
Среди заболевших АПЛ преобладали мужчины (73,9%) в возрасте от 17 до 70 лет, средний возраст составил 51,2 ± 5,3 года, при этом соотношение показателей заболеваемости мужчин и женщин составило 4:1. Наибольшая доля заболевших зарегистрирована в возрастных группах от 51 года до 60 лет (18,5%) и от 61 года до 70 лет (13,8%). В эпидемический процесс при АПЛ вовлечены все социально-профессиональные группы населения АО. Рабочие сельскохозяйственных предприятий (овощеводы, рисоводы) и фермерских хозяйств (животноводы, чабаны) составили 45,2 ± 3,7%, на 2-м месте находятся пенсионеры, которые инфицируются либо при уходе за домашним скотом, либо на дачных участках (18,2 ± 2,3%), на 3-м – безработные (15,9 ± 2,1). 66,2% заболевших проживают в сельской местности, на долю городского населения приходится 33,8%.
Для выяснения влияния климатогеографических условий и биологического фактора были изучены ландшафты, климат, эпизоотологическая характеристика природных очагов инфекций, передающихся иксодовыми клещами, на территории АО.
С 2000 по 2020 г. ежегодно проводили эпизоотологическое обследование 11 административных территорий области, определяли видовой состав клещей и их территориальное распределение по ландшафтным зонам и административным районам. Установлено, что на территории АО в разных ландшафтно-географических зонах обитают 16 видов иксодовых клещей, относящихся к 6 родам: Hyalomma, Rhipicephalus, Dermacentor, Ixodes, Heamorhysalis, Boophilus Curtice. Преобладают иксодовые клещи вида R. pumilio – переносчики АПЛ (46,2%), на 2-м месте H. мarginatum, переносчики КГЛ (26,2%), доля остальных видов клещей составляет 27,6%.
В ходе исследования проведен эпизоотологический мониторинг численности клеща R. рumilio, который чаще всего встречается в природе на территории АО, и выявляется при обращении людей с присасыванием к ним клещей [59% (имаго – 37%, нимфа – 22%)]. Максимальная активность клещей, была выявлена в конце 3-й декады мая. Последних клещей отмечали в конце 2-й – начале 3-й декады сентября. Самое раннее появление клещей отмечено в 2004 г. – 12 марта. Среднемноголетний показатель длительности паразитирования иксодовых клещей R. pumilio составил 144,2 ± 7,7 дня. Самым продолжительным был период с 30.03 по 16.09.2007 (171 день), самым коротким –с 18.04 по 28.08.2011 и с 21.04 по 30.08.2013 (по 132 дня). За период 2000–2020 гг. установлен рост численности клещей R. pumilio в 10 раз (р < 0,05). При изучении влияния климатического фактора на численность клещей R. pumilio установлено, что существует прямая корреляционная зависимость средней степени (r = 0,65; p < 0,01). Иксодовых клещей R. pumilio, снятых с собак, исследовали на зараженность риккетсиями методом флюоресцирующих антител. Выявлено, что наибольшие показатели были на территориях Красноярского (9,2 ± 1,4%), Приволжского (8,2 ± 1,1%) и Харабалинского районов Астраханской области. Средний показатель зараженности отдельных административных территорий значительно колебался: от 1,8% в Володарском районе до 9,2% –- в Красноярском. Корреляционный анализ показал наличие сильной положительной связи между заболеваемостью населения и зараженностью клещей возбудителями АПЛ (г = 0,9; p < 0,001).
Первые клещи H. marginatum – переносчики КГЛ – в природе появляются со второй половины марта или первой половины апреля, в зависимости от температурного фактора. Самое раннее их появление отмечено лишь в 2001 г. – в первых числах марта. Численность переносчиков постепенно нарастает, и максимума их популяция достигает ко 2-й – 3-й декаде мая. Индекс встречаемости клещей в этот период составляет 100%. Со второй половины июня численность клещей снижается, последние особи встречаются в конце августа. Самым продолжительным был период с 11.03 по 28.08.2001(171 день), самым коротким – с 24.03 по 02.08.2016 (132 дня). Среднемноголетний показатель длительности паразитирования иксодовых клещей H. marginatum составил 153,47 ± 2,3 дня. В 2000–2016 гг. установлен рост численности клещей H. marginatum в 7,8 раза (p < 0,05). Наибольшее число клещей было собрано в 2007 (5662 особи), 2008 (6000 особей), и в 2010 г. (5783 особи). Максимальный индекс обилия иксодовых клещей H. marginatum (среднее число особей на одну особь КРС) отмечали в 2002 (5,4), 2001 (5,2) и 2012 г. (4,6). Выявлена прямая зависимость числа заболеваний КГЛ от численности иксодовых клещей на территории АО (r = +0,813; p < 0,01). Корреляционный анализ между числом положительных проб на наличие вируса КГЛ по годам и температурой воздуха в мае в период 2000–2016 гг. показал наличие сильной положительной связи между этими показателями (r = 0,83). Вирусофорность H. marginatum была самой высокой в 2001 г. (34,3%). Средний показатель вирусофорности по отдельным административным территориям значительно колебался от 1,0% в Володарском районе до 8,7% в Приволжском.
Иксодовых клещей R. pumilio, снятых с собак, исследовали на зараженность риккетсиями методом флюоресцирующих антител. Выяснили, что средний показатель зараженности по административным территориям АО колебался от 0–1,8% в Ахтубинском, Черноярском, Володарском районах до 8,2–9,2% в Приволжском и Красноярском районах.
При анализе клинических проявлений КГЛ за период 2000–2020 гг. легких форм КГЛ выявлено не было. Преобладали среднетяжелые формы болезни (70,5 ± 5,4%) с необильными носовыми кровотечениями. Тяжелые формы болезни составили 29,5 ± 4,6% и сопровождались обильными полостными кровотечениями (93,4 ± 2,8%). У 126 (70%) пациентов КГЛ протекала в среднетяжелой форме. Наблюдаемые больные указывали на факты раздавливания клещей незащищенными руками (29,6 ± 6,4%), снятия клещей с животных (18,3 ± 4,9%), соприкосновения с клещом в результате снятия его с кожных покровов (9,3 ± 5,3%). В 98 (65,2%) случаях люди обращались за медицинской помощью на 2–4-е сутки болезни. В течение первых 3 суток болезни были госпитализированы 64 (42,2 ± 6,7%) чел., на 4–5-й день – 55 (36,3 ± 4,9%), на 6–8-й день – 32 (21,2 ± 5,2%). При заболевании средней степени тяжести в 52 ± 3,4% случаев выявлено наличие первичного аффекта, который преимущественно локализовался на нижних конечностях, туловище. Первичный аффект представлял собой пятно или папулу с четкими контурами до 0,4–0,8 мм в диаметре ярко-красного цвета с геморрагическим содержимым (93,6 ± 5,4%). В центре его была обнаружена геморрагическая корочка с узкой каймой эпителия по периферии. На 8,5 ± 0,7-й день первичный аффект бесследно исчезал или разрешался точечной поверхностной атрофией на месте геморрагической корочки.
Главным и грозным признаком КГЛ является наличие или отсутствие геморрагических проявлений.
В ходе анализа у 45 пациентов заболевание протекало в тяжелой форме с высоким риском развития летального исхода. Возраст больных составил 55,6 ± 2,5 года, среди них преобладали мужчины – 88,1 ± 4,7%.
Больных с тяжелым течением КГЛ госпитализировали на 5–6-е сутки от начала болезни (56,8 ± 5,7%), остальные пациенты обратились за медицинской помощью на 6–8-й день болезни. Следовательно, поздние сроки госпитализации могли способствовать утяжелению течения инфекционного процесса.
У 93,4 ± 2,8% тяжелых больных регистрировали геморрагический синдром.
Были изучены данные о 165 лабораторно подтвержденных случаях заболевания АПЛ. Анализ сроков поступления больных в стационар и анализ догоспитальной диагностики АПЛ выявил следующее: 88,6%пациентов поступили в клинику в первые 7 дней болезни, однако в первые 3 дня были госпитализированы всего 9,2%, что свидетельствует о недостаточной осведомленности населения об этом эндемичном для данного региона заболевания и низком качестве профилактической работы с населением. При первичном обращении к врачу по месту жительства (участковые больницы, фельдшерско-акушерские пункты, поликлиники, ЦРБ) первоначально диагноз АПЛ был поставлен 49,4% больных,– острая респираторная вирусная инфекция (ОРВИ) – 22,6%, лихорадка неясного генеза – 23,6%, вирусная инфекция неясной этиологии – 4,4%, что свидетельствует о низком качестве догоспитальной диагностики АПЛ. Анализ клинических симптомов АПЛ показал, что заболевание начиналось остро в 100% случаев, характеризовалось наличием лихорадки, слабости и головной боли, полиморфной сыпью (100% случаев), наличием первичного аффекта (35,4%), артралгиями (89,2%) и миалгиями (80%). Заболевание протекало в среднетяжелой форме и заканчивалось выздоровлением. В наших исследованиях летальных исходов не было.
Нами были разработаны математические модели прогнозирования проявлений эпидемического процесса КГЛ и АПЛ. В процессе их построения отобраны наиболее информативные характеристики, что повысило надежность результатов.
На первом этапе были собраны статистические данные о численности переносчиков КГЛ и АПЛ, числе обращений населения в медицинские организации по поводу присасывания иксодовых клещей и заболеваемости населения этими инфекциями
Расположение информации в хронологическом порядке и представление ее в виде вариационного ряда дают возможность сформировать стандартный алгоритм ее анализа. Исключение из массива первичной информации всех резко выделяющихся объектов по уровню факторного анализа производили в соответствии с правилом «трех сигм». В указанный диапазон не попадают значения признака в уровне 2014 г. Исключая их из совокупности наблюдений, получим значительное увеличение коэффициента детерминации при аппроксимации исходных данных о численности обращений по поводу присасывания иксодовых клещей.
Для оценки изменения явления во времени рассчитывали несколько вариантов показателей:
- абсолютный прирост;
- коэффициенты роста и прироста;
- темпы роста и прироста;
- средние показатели рядов динамики.
Каждый из этих показателей рассмотрен в двух формах – цепной и базисной. Для получения показателей динамики сравнивали между собой значения y1, у2, у3,...уn установленные в ряду. При расчете базисных показателей отдельно взятое значение ряда сравнивали с аналогичным в базисном периоде. За базисный принят элемент ряда, соответствующий первому периоду наблюдений – уБ = у1. Рассматриваемый в данный момент определялся как текущий уровень ряда. Для временных рядов относительной величины численности иксодовых клещей H. marginatum и R. pumilio к общему объему собранных экземпляров на территории АО определены показатели динамики. Для анализа динамики обращений населения по поводу присасывания иксодовых клещей построим полигоны относительных частот зафиксированных случаев в общем объеме наблюдений.
Анализируя графическое представление закона распределения относительных частот появления клещей H. marginatum и R. pumilio в общей совокупности обращений людей на предмет их присасывания, можно сделать вывод о незначительном варьировании полученных частот вокруг соответствующих средних величин.
Для характеристики среднего уровня изменения явления за анализируемый период в целом использованы показатели среднего уровня ряда динамики.
Для решения этой проблемы в качестве базовых элементов при построении прогноза рассчитаны:

среднегодовой темп прироста Тприрост = Трост – 100%.
Анализ расчетных значений показателей динамики временных рядов по факту обращения людей свидетельствует о постепенном среднегодовом росте числа лиц, обратившихся на предмет присасывания клещей. Эти данные указывают на высокий риск заражения населения КГЛ и АПЛ, поскольку иксодовые клещи H. marginatum и R. pumilio – одни из основных переносчиков соответствующих возбудителей – наиболее распространены на территории региона.
Таким образом, за изучаемый период анализ показателей динамики по факту обращения людей на присасывания иксодовых клещей свидетельствует о среднегодовом росте числа лиц, обратившихся из-за присасывания клещей H. marginatum в 2,53 раза, клещей R. pumilio – в 7,06 раза. Среднегодовой темп прироста H. marginatum составил 9,74, R. pumilio – 16,73, что указывает на высокий риск заражения населения КГЛ и АПЛ.
Построение краткосрочного прогноза уровня заболеваемости населения КГЛ и АПЛ на территории Астраханской области основано на корреляционно-регрессионных методах анализа динамики показателей заболеваемости этими инфекциями.
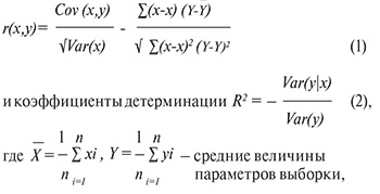
Согласно представленным формулам, для каждого ряда динамики определены коэффициенты корреляции:

Var (x), Var (y) – коэффициенты вариации по каждому параметру соответственно, Cov(x,y) – коэффициент ковариации.
Значения этих параметров указывают на силу связи между переменными. Чем ближе значения коэффициентов к 1, тем сильнее зависимость. При оценке регрессионных моделей это интерпретируется как соответствие модели данным. Считается, что при r(x,y)<0,3 корреляционная зависимость между признаками низкая, при 0,3 ≤ (х, у) ≤ 0,7 – средняя, а при r(x,y) > 0,7 ─ высокая. Для установления наличия зависимости между отдельными показателями статистической совокупности данных, полученных в ходе исследования, средствами Excel построены расчетные таблицы. Представленные таблицы содержат промежуточные результаты, на основе которых может быть определена сила связи между параметрами математических моделей, позволяющих оценить динамику заболеваемости КГЛ и АПЛ.
Среди таковых следует выделить следующее.
Модель 1, устанавливающая зависимость между показателями: x – индекс обилия иксодовых клещей, y – численность обращений людей на присасывания клещей H. marginatum и R. pumilio.
Модель 2, устанавливающая зависимость между показателями: x – численность обращений людей на присасывания клещей H. marginatum и R. pumilio, y – численность заболевших КГЛ и АПЛ.
Модель 3, устанавливающая зависимость между показателями: x – индекс обилия, y – численность заболевших КГЛ и АПЛ.
Для определения коэффициентов вариации Var(x)и Var(y), ковариации Cov(x,y), корреляции r(x,y), позволяющих оценить уровень заболеваемости КГЛ и АПЛ, мы учитывали данные по АО за 2000–2016 гг. Сила связи между тремя параметрами (индекс обилия, объем обращений, число заболевших), попарно представленная в моделях 1–3, выявлена через расчетные показатели.
Расчеты показали, что и в том, и в другом случае величина парного коэффициента корреляции между уровнем заболеваемости и индексом обилия соответствующих видов клещей превосходит 0,8, поэтому прогноз дальнейшего развития эпидемического процесса строится на установлении зависимости между этими параметрами.
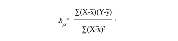
Коэффициент корреляции указывает на направление и степень сопряженности в изменчивости признаков, но не позволяет судить о том, как количественно меняется результативный признак при изменении факторного на единицу измерения. Поэтому применен метод регрессионного анализа, основная задача которого – поиск формулы корреляционной зависимости. В случае линейной зависимости между Y и X имеем:

где x и y ─ средние арифметические для ряда X и Y;
byx ─ коэффициент регрессии Y и X.
Коэффициент регрессии вычисляем по формуле:

Величина byx показывает, как изменяется Y при изменении X на единицу измерения, и выражается в единицах Y.
Коэффициент детерминации показывает долю изменений, которые в данном явлении зависят от изученного фактора. Он является более непосредственным прямым способом выражения зависимости одной величины от другой и в этом отношении он предпочтительнее коэффициента корреляции. В случаях, когда известно, что зависимая переменная Y находится в причинной связи с зависимой переменной X, значение R2показывает долю элементов в вариации Y, которая определена влиянием X. Для приемлемых моделей предполагается, что коэффициент детерминации должен превышать 50%.
По сводным данным, уровень заболеваемости КГЛ и АПЛ, принятый за результирующий показатель Y, существенно зависит от величины X – индекса обилия соответствующих видов клещей на рассматриваемой территории. Наличие указанной зависимости служит отправной точкой для построения линий тренда, предопределяющих возможность проведения наилучшего сглаживания.
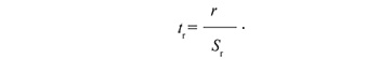
Для проверки адекватности построенной математической модели, представленной в виде регрессионной зависимости между параметрами эпидемического процесса, вычислим ошибку коэффициента корреляции и критерий его существенности.
Стандартную ошибку коэффициента корреляции определим по формуле:

где Sr – ошибка коэффициента корреляции; – n – объем совокупности исходных данных.
Из формулы следует, что коэффициенты корреляции, близкие к 1, оказываются всегда точнее коэффициентов корреляции, близких к 0. С увеличением количества объектов исследования также будет всегда уменьшаться, а точность в определении – возрастать.
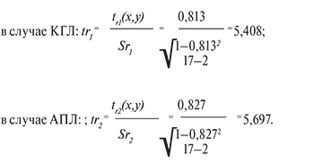
Критерий существенности коэффициента корреляции определяем по формуле:

Если tr ≥ tтеор, то корреляционная связь существенна. Теоретическое значение критерия tтеор находим по таблице Стьюдента, принимая 5% уровень значимости при числе степеней свободы равном (n–2). В данном случае оно равно tтеор = 2,13, а расчетное значение

Таким образом, в результате построения прогноза уровня заболеваемости КГЛ и АПЛ в будущих периодах на основе корреляционно-регрессионных методов анализа, мы установили, что существует сильная корреляционная зависимость между уровнем заболеваемости и индексом обилия клещей как при КГЛ, так и при АПЛ – r(x,y) = 0,813 и r(x,y) = 0,827 соответственно. При построении регрессионного анализа достоверной оказалась модель полиномиальная 2-й степени и при КГЛ, и при АПЛ. Для проверки адекватности прогноза в виде регрессионной зависимости мы вычислили ошибку коэффициента корреляции и критерий его существенности. В результате полученные значения, согласно критерию существенности корреляционной зависимости, демонстрируют адекватность построенной математической модели.
Вторым этапом в процессе построения прогностических математических моделей был отбор наиболее информативных характеристик, что повышало надежность результатов, к которым мы отнесли природно-климатические (температуру и влажность воздуха, объем осадков).
Для возможности учета всех указанных выше факторов построена математическая модель, устанавливающая зависимость y – уровня заболеваемости КГЛ от таких факторов, как:
x1 – индекс обилия H. marginatum на КРС;
x2 – средняя температура воздуха в пиковые временные промежутки (май, июнь, июль);
x3 – объем осадков за май, июнь и июль.
Математическая модель, устанавливает зависимость параметра y – уровня заболеваемости АПЛ от таких факторов, как:
x1 – индекс обилия R. pumilio;
x2 – средняя температура воздуха в пиковые временные промежутки (май, июнь, июль);
x3 – объем осадков за май, июнь и июль.
Тесноту связи для представленных параметров модели устанавливали между ними попарно. Расчетные величины демонстрируют либо среднюю, либо высокую тесноту связи в большинстве пар. Слабая зависимость наблюдается только между температурой воздуха и количеством осадков, что соответствует действительности.
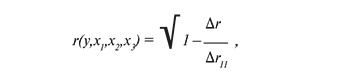
Множественный коэффициент корреляции определяли по формуле с использованием матриц;

где Δr – определитель матрицы парных коэффициентов корреляции ; у, х1, х2, х3 ; y, x1,x2,x3;
Δr11 – определитель матрицы межфакторной корреляции .
Данный показатель для уровня заболеваемости равен
для КГЛ: r(y,x1,x2,x3)КГЛ = 0,834;
для АПЛ: r(y,x1,x2,x3)КГЛ = 0,857.
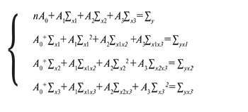
Используя метод наименьших квадратов, строим систему линейных алгебраических уравнений:

При решении данной системы методом Крамера определены свободные члены и коэффициенты при неизвестных линейных регрессионных зависимостей В результате получены уравнения регрессий, определяющие математические модели со степенью точности более 80%:для уровня заболеваемости КГЛ:

Подставив в представленные уравнения значения переменных x1 – индекс обилия; x2 – температуру воздуха; x3– объем осадков, получим в абсолютном выражении прогнозное значение числа заболевших лихорадкой на территории Астраханской области.
Предложенный математический аппарат может быть использован для построения уравнений регрессий на основе статистических данных обследований, а, следовательно, для построения прогноза уровня заболеваемости.
Обсуждение
В целом за анализируемый период в результате проведения санитарно-просветительной работы с населением показатель обращаемости лиц по поводу присасывания иксодовых клещей возрос в 3,4 раза (p < 0,001), что является положительной тенденцией, потому что своевременное обращение предотвращает заболеваемость населения ИПК.
Высокий процент контактов местных жителей с клещами говорит о существовании стойких антропургических очагов ИПК, вокруг населенных пунктов за счет домашнего скота и домашних животных, являющихся активными прокормителями взрослых особей иксодовых клещей.
Для анализа заболеваемости ИПК важным является показатель обращаемости населения в медицинские организации по поводу присасывания иксодовых клещей, который отражает как эпидемическую, так и энтомологическую ситуацию: по нему можно судить о начале и конце сезона активности природного очага, периодах высокой численности клещей, пространственному распределению переносчиков по территории, интенсивности контактов населения с клещами, полноте профилактических мероприятий, а также о динамике вовлечения в хозяйственную деятельность человека, в связи с чем и возрастает риск инфицирования людей.
При территориальном распределении заболеваемости КГЛ и АПЛ по административным районам Астраханской области выявлены сходства и различия.
За период с 2000–2020 гг. заболеваемость населения КГЛ регистрировалась в 12 административных районах, в том числе в 11 сельских районах области и г. Астрахань. За указанный период среднегодовые показатели заболеваемости населения КГЛ широко варьировали в пределах территории области, от единичных случаев (Ахтубинский, Черноярский районы) до 61,8 на 100 тыс. населения в Приволжском районе, 53,3 на 100 тыс. населения в Красноярском районе. Распределение территорий риска (месту заражения) проведено с использованием интенсивных показателей заболеваемости (на 100 тыс. населения). В результате выделены 4 зоны риска заражения КГЛ: высокого (уровень риска 30 и выше на 100 тыс. населения) – 4 района (Приволжский, Красноярский, Харабалинский, Енотаевский,), среднего (уровень риска 20–30 на 100 тыс. населения) – 2 (Камызякский, Лиманский), низкого (уровень риска 10–20 на 100 тыс. населения) – 4 (Наримановский, Володарский, Икрянинский, Черноярский) и очень низкого (уровень риска ниже 10 на 100 тыс. населения) – 2 (Ахтубинский, г. Астрахань).
Установлено, что имеется тенденция к расширению ареала АПЛ: если в 1993 году больные были зарегистрированы г. Астрахани и в 3 районах области, то к 1999 году отмечена заболеваемость в 9-ти сельских районах и г. Астрахани. С 2013 г. в эпидемических процесс вовлечены все 11 районов области. Случаи заболевания за период 2000–2020 гг. регистрировались в Красноярском (показатель заболеваемости составил 125,4 ± 5,2 на 100 тыс. населения), Приволжском (65,1 ± 5,1 на 100 тыс. населения), Харабалинском (64,3 ± 6,7 на 100 тыс. населения), Наримановском (55,9 ± 2,5 на 100 тыс. населения), Лиманском районах (16,1 ± 2,2 на 100 тыс. населения) и г. Астрахани (15,6 ± 1,1 на 100 тыс. населения) в течении 17 лет, в Енотаевском (27,8 ± 4,6 на 100 тыс. населения), Икрянинском (18,9 ± 2,7 на 100 тыс. населения) – 16 лет, в Камызякском (10,4 ± 1,5 на 100 тыс. населения) – 15 лет, в Володарском (5,6 ± 0,5 на 100 тыс. населения) – 13 лет. В Ахтубинском районе первые случаи заболевания зарегистрированы в 2009 г. (всего 4 случая, показатель заболеваемости составил 3,03 ± 0,6 на 100 тыс. населения), в Черноярском районе был зарегистрирован только один случай заболевания в 2013 г. (показатель заболеваемости составил 2,9 на 100 тыс. населения). Установлено, что расширение природного очага АПЛ произошло с юга на север, с востока на запад.
Распределение территорий по риску заражения населения АПЛ проведено с использованием интенсивных показателей заболеваемости (на 100 тыс. населения). В результате выделены 5 зон риска заражения АПЛ: очень высокого (уровень риска 60 < на 100 тыс. населения) – 3 района (Красноярский, Приволжский, Харабалинский), высокого (уровень риска 30–60 на 100 тыс. населения) – 2 района (Наримановский и Енотаевский), среднего (уровень риска 10–30 на 100 тыс. населения) – 3 района (Икрянинский, Лиманский и г. Астрахань), низкого (уровень риска 5–10 на 100 тыс. населения) – 2 района (Камызякский, Володарский) и очень низкого (уровень риска 1–5 на 100 тыс. населения) – 2 района (Ахтубинский, Черноярский). При АПЛ заражения происходили во всех ландшафтных зонах Астраханской области, наибольшая частота заражений была в Волго-Ахтубинской пойме и дельте р. Волга. Из 3951 случая заражений АПЛ на Волго-Ахтубинскую пойму приходится 1453 случая, что составляет 36,7% от всего числа заражений АПЛ в области и показатель заболеваемости составил 72,4 на 100 тыс. населения, в дельтовой зоне зарегистрировано 1368 случаев заражения АПЛ, что составляет 34,6%, и показатель заболеваемости составил 69,8 на 100 тыс. населения. Представленные данные свидетельствуют о том, что случаи заболевания АПЛ в течение анализируемого периода наблюдались во всех административных территориях области и указывают на различную степень интенсивности эпидемического процесса АПЛ и подтверждают приуроченность природных очагов АПЛ к определенным территориям и расширению нозоареала.
При изучении приуроченности различных видов иксодовых клещей к ландшафтным зонам АО выявлены неодинаковое их распределение по районам области и различная численность видов– от доминирующих до единичных. В целом численность клещей в природе ежегодно возрастает, на что существенное влияние оказывают климатические условия последних лет – повышение температуры воздуха и влажности климата. В результате эпидемиологическая значимость видов иксодовых клещей различна. Многолетние комплексные исследования позволили установить видовой состав иксодовых клещей в АО, их ландшафтное распределение, различные варианты продолжительности сезонной активности и численности клещей, зараженность патогенами. Отмечаемый в настоящее время широкий спектр иксодовых клещей на всей территории АО свидетельствует о возрастании эпидемической опасности.
Заражения людей КГЛ и АПЛ на территории АО происходили во всех ландшафтных зонах, расположенных на территории области – полупустынной, пустынной и внутризональной. Наиболее пораженной явилась внутризональная зона, на территории которой расположены 2 типа ландшафтов (Волго-Ахтубинская пойма и дельтовый), где почвы характеризуются высоким содержанием органических питательных веществ, увлажненностью, что создает благоприятные условия для развития и жизнедеятельности иксодовых клещей. Наиболее высокий риск заражения людей КГЛ и АПЛ отмечается в пойме р. Волги и в ее дельте. Показатели заболеваемости КГЛ составляют 44,3 на и 57,9 на 100 тыс. населения соответственно, АПЛ – 72,4 на и 69,8 на 100 тыс. населения). Эти сведения указывают на различную степень интенсивности эпидемического процесса КГЛ и АПЛ в природных биотопах, и подтверждают приуроченность природных очагов к определенным территориям.
Сравнение показателей летальности при КГЛ и АПЛ показало что при КГЛ летальность составила в 2002 и 2004 гг. 25%, в 2003 г. – 11,1%, в 2005 г. – 2,7%, в 2006 г. – 6,25% и в 2010 г. – 14,2%. Летальные исходы при АПЛ регистрируют, начиная с 2013 г.: в 2013 г. – 4 случая (2 в Камызякском районе и по 1 в Лиманском районе и в г. Астрахань: показатель летальности – 1,03 ± 0,2%); в 2014 г. – 5 случаев (2 в Приволжском районе и по 1 в Наримановском, Икрянинском, Красноярском районах (показатель летальности – 1,7 ± 0,5%); в 2015 г. – 5 случаев ( 1 в Красноярском районе, по 2 случая в Наримановском районе и в г. Астрахань; показатель летальности 1,6 ± 0,45%). Таким образом, при КГЛ летальность в 10–25 раз выше, что свидетельствует о тяжелом течении данного инфекционного заболевания.
Для научного обоснования планирования и качественного проведения профилактических и противоэпидемических мероприятий важным является определение прогностического уровня заболеваемости и выявление факторов риска осложнения эпидемической ситуации на территории природного очага ИПК. Анализ факторов риска служит основой для составления прогноза ее изменения. Согласно определению Б.Л. Черкасского, составление эпидемиологического прогноза представляет собой «научно обоснованное суждение о вероятном будущем состоянии эпидемической ситуации на конкретной территории и среди определенного населения, основанное на оценке существующей обстановки и вероятных тенденций и масштабах ее изменения под воздействием биологических, природных и социальных факторов». Использование математических моделей позволяет прогнозировать возможные варианты развития эпидемической ситуации, но в настоящее время построить точную модель реального эпидемического процесса конкретной инфекции в конкретной популяции – задача абсолютно не выполнимая. Задача математического моделирования эпидемического процесса на современном этапе – пошаговое исследование величины и характера вклада большого количества потенциально существенных факторов. Для исследования конкретной ситуации также необходимо пользоваться не одной всеобъемлющей моделью, а набором простых функциональных моделей, каждая из которых лучше описывает те или иные стороны изучаемого явления. В настоящее время ведутся исследования по разработке большого количества дополняющих друг друга типов и классов моделей эпидемического процесса, поэтому нами была предпринята попытка разработки математических моделей прогнозирования проявлений эпидемического процесса КГЛ и АПЛ. В процессе построения прогностических моделей были отобраны наиболее информативные характеристики, что повысило надежность результатов.
Полученные уравнения регрессий позволяют сделать прогноз об изменении уровня заболеваемости. Моделью, наиболее достоверно описывающей данный процесс, в обоих случаях является полиномиальная 2-й степени. Оценивая динамику изменения индекса обилия по фактору времени, по большинству исследуемых показателей полученный прогноз неутешителен.
В ходе исследования выявлено, что по отдельным показателям эпидемического процесса построение аппроксимирующей кривой и соответствующего уравнения регрессии может привести к неверным результатам, поскольку коэффициенты детерминации в этих случаях не превышают 50%, что обусловлено значительным варьированием показателей вокруг средней величины в рамках рассматриваемого промежутка времени.
Вторым этапом в процессе построения прогностических математических моделей был отбор наиболее информативных характеристик, к которым мы отнесли природно-климатические (температуру и влажность воздуха, объем осадков). что повышало надежность результатов.
Результаты исследования доказали, что в условиях активизации природных очагов ИПК на территории АО, расширения ареала возбудителей и увеличения количества переносчиков под влиянием антропогенных и климатогеографических факторов выросли число обращений за медицинской помощью по поводу присасывания иксодовых клещей и показатели заболеваемости населения ИПК. В связи с этим необходимо внести коррективы в действующую систему профилактических мероприятий по борьбе с ИПК с целью ее оптимизации. Основой этих мероприятий является организационная деятельность всех учреждений, участвующих в системе эпидемиологического надзора и контроля за ИПК. Неспецифической профилактикой в очагах КГЛ и АПЛ является проведение противоклещевых мероприятий и усиление разъяснительной работы среди населения по формированию гигиенических навыков поведения в очагах инфекций. При организации и проведении противоклещевых мероприятий на территории природных биотопов основные задачи – снижение численности клещей и проведение мероприятий, предупреждающих нападение их на человека. Поэтому ликвидация заклещевленности крупного и мелкого скота в общественных и индивидуальных хозяйствах, акарицидные мероприятия по снижению численности клещей и преимагинальных фаз их развития в природных биотопах и проведение мероприятий по защите населения от нападения клещей, являются основными противоэпидемическими мероприятиями.
В результате комплексного исследования, проведенного с 2000 по 2020 г. на территории АО, было выявлено расширение нозоареалов КГЛ и АПЛ на 11,8 и 23,4% соответственно), определены территории наибольшего риска инфицирования населения, что позволило увеличить и перераспределить объемы обработки акарицидными средствами по этим территориям, обеспечить снижение уровня заболеваемости КГЛ в 7,2 раза (р < 0,001) и стабилизацию уровня заболеваемости АПЛ (р < 0,001).
Основой неспецифической профилактики ИПК являлась санитарно-разъяснительная работа с населением о необходимости проведения мероприятий по индивидуальной защите от этих заболеваний.
В качестве первоочередных мер профилактики после посещения природных биотопов предлагаются взаимные осмотры на наличие клещей, рациональное применение акарицидных и репеллентных препаратов, своевременное обращение к врачу при появлении первых признаков заболевания.
Заключение
Результаты исследования показали, что в условиях активизации природных очагов инфекций, передающихся иксодовыми клещами, расширения ареала возбудителей и переносчиков под влиянием антропогенных и климатогеографических факторов (на примере КГЛ и АПЛ), актуальным является внесение корректив в действующую систему управления эпидемическим процессом таких инфекций с целью ее оптимизации. Разработанные математические модели прогнозирования проявлений эпидемического процесса КГЛ и АПЛ c учетом многофакторного влияния абиотических (средней температуры воздуха и объема осадков в сезонный подъем заболеваемости населения), биотических (индекс обилия иксодовых клещей) факторов, устанавливающих зависимость уровня заболеваемости населения и характеризующих прогностическую модель с высокой (более 80%) степенью точности позволяют разрабатывать краткосрочный прогноз эпидемической ситуации в зависимости от эпидемиологического риска для территорий в определенный отрезок времени.



