Мефлохин и хлорохин наиболее часто применяют для профилактики малярии у неиммунных лиц, выезжающих в эндемичные регионы [1–3]. Эти препараты относятся к группе 4-аимнохинолонов и имеют сходный механизм действия, связанный с нарушением метаболизма поглощаемого плазмодиями гемоглобина. Развиваясь внутри эритроцитов, малярийные плазмодии поглощают кровяной пигмент. Белковую фракцию используют для питания, а токсичный для себя железосодержащий компонент утилизируют в цитоплазме, преобразуя в кристаллы гемозина [4]. Препараты группы хинолонов проникают в пищеварительную вакуоль малярийных плазмодиев и блокируют преобразование токсичного порфирина в гемозин. Накопление необезвреженных продуктов деградации гемоглобина приводит к гибели паразитарной клетки [5].
Мефлохин обладает высокой активностью в отношении большинства штаммов малярийных паразитов. В связи с возможностью возникновения таких побочных эффектов, как головокружение и галлюцинации, этот препарат не рекомендуется для профилактики малярии у лиц, занятых операторской деятельностью (водителей, летчиков, диспетчеров и др.) [5]. Побочные действия хлорохина отличаются меньшей степенью выраженности по сравнению с мефлохином, однако его применение ограничивается широким распространением лекарственноустойчивых штаммов малярийных паразитов [3, 6].
По данным литературы, противомалярийные химиопрепараты обладают эффектом кумуляции, накапливаясь в клетках печени. Их длительный прием может сопровождаться развитием ряда нежелательных и даже опасных побочных эффектов [6, 7]. Большинство авторов, специализирующихся на изучении малярии, при описании принципов химиопрофилактики у лиц, выезжающих в эндемичные регионы, как правило, ограничиваются упоминанием о необходимости приема профилактических препаратов [8]. Рекомендуемые ими схемы приема препаратов содержат информацию о периодичности употребления и дозах лекарственных средств без указания на возможную длительность профилактического курса. Отсутствие четких и ясных принципов проведения химиопрофилактики нередко затрудняет практическое применение химиопрепаратов, а в некоторых случаях создает предпосылки для возникновения ошибок. Так, например, официальные источники некоторых миротворческих миссий ООН на территории Африки рекомендовали в качестве альтернативного способа профилактики малярии ежедневный прием доксициклина, не комментируя возможную продолжительность курса [1, 9]. Вместе с тем из клинической практики известно, что длительное использование этого препарата может способствовать развитию серьезных заболеваний желудочно-кишечного тракта, таких как язвенная болезнь желудка и двенадцатиперстной кишки, острый панкреатит, холецистит [3, 10]. По данным литературы, на фоне профилактического приема мефлохина могут появляться признаки побочного действия препарата: снижение остроты зрения, головокружение, галлюцинации [8, 11]. Эти явления особенно опасны для пилотов, диспетчеров, водителей автотранспортных средств и других лиц, связанных с выполнением операторских функций.
Поскольку побочное действие химиопрепаратов может служить препятствием к проведению химиопрофилактики, сведения о возможных сроках возникновения неблагоприятных признаков имеют важное значение при разработке и планировании долгосрочной системы противомалярийных мероприятий. Это особенно важно в условиях круглогодичной передачи возбудителей малярии [1, 2, 12]. В последнее время внимание к вопросу переносимости мефлохина и хлорохина привлечено также в связи с возможностью их использования в качестве потенциальных средств лечения коронавирусной инфекции [13, 14]. В этой связи нами было проведено исследование, целью которого было изучение динамики возникновения признаков побочного действия мефлохина и хлорохина после начала их регулярного профилактического приема. На основе полученных данных предстояло установить особенности и оптимальную продолжительность непрерывного профилактического приема этих препаратов.
Материалы и методы
Под нашим наблюдением находились 287 лиц в возрасте от 22 до 53 лет из состава миротворческой миссии ООН в Анголе, длительно подвергавшихся высокому риску заражения возбудителями тропической малярии. Члены летных экипажей, лица, привлекаемые в качестве руководителей полетов, а также водители автотранспортных средств еженедельно принимали по 300 мг хлорохина. Они составили 1-ю группу. Во 2-ю были включены военнослужащие, которые использовали мефлохин (по 250 мг 1 раз в неделю). Химиопрофилактику среди военнослужащих проводили организованно в один и тот же день недели. Регулярность приема лекарственных препаратов обеспечивалась посредством эффективного контроля, который включал индивидуальный учет употребления каждой дозы лекарственного средства. В качестве контроля была выделена группа лиц, которым в силу различных причин химиопрофилактику не проводили. Период наблюдения за военнослужащими составлял от 6 до 12 мес., в течение его среди лиц, регулярно проводивших химиопрофилактику и выполнявших предписанный комплекс противомалярийных мероприятий, случаев заболевания малярией не было.
Методика исследования предусматривала тщательный учет жалоб военнослужащих, предъявляемых во время еженедельных медицинских осмотров. Среди участников исследования, принимавших мефлохин и хлорохин, определяли долю военнослужащих, предъявлявших жалобы, соответствовавшие признакам побочного действия профилактических химиопрепаратов. Полученные результаты сравнивали с соответствующими показателями в группе контроля.
Причинно-следственные связи между лекарственным воздействием и развитием того или иного неблагоприятного признака или жалобы устанавливали путем отмены очередной дозы препарата. В случаях, обусловленных побочным действием лекарственного средства, болезненные симптомы купировались в течение 7–10 дней.
Результаты
Было установлено, что проявления и степень выраженности побочного действия противомалярийных препаратов во многом зависят от продолжительности их приема. В течение первых 3 мес. химиопрофилактики регистрировали лишь единичные случаи возникновения признаков повышенной чувствительности к лекарственным препаратам. В 1-й группе доля лиц с жалобами на неудовлетворительное самочувствие (незначительное головокружение, легкое чувство тошноты, снижение аппетита) составляла 7,1%. Среди военнослужащих 2-й группы аналогичные симптомы регистрировали в 14,6% случаев. Как правило, признаки побочного лекарственного воздействия возникали после приема очередной дозы препарата и самопроизвольно купировались в течение 12 ч, не оказывая влияния на работоспособность и качество жизни военнослужащих (рис. 1).

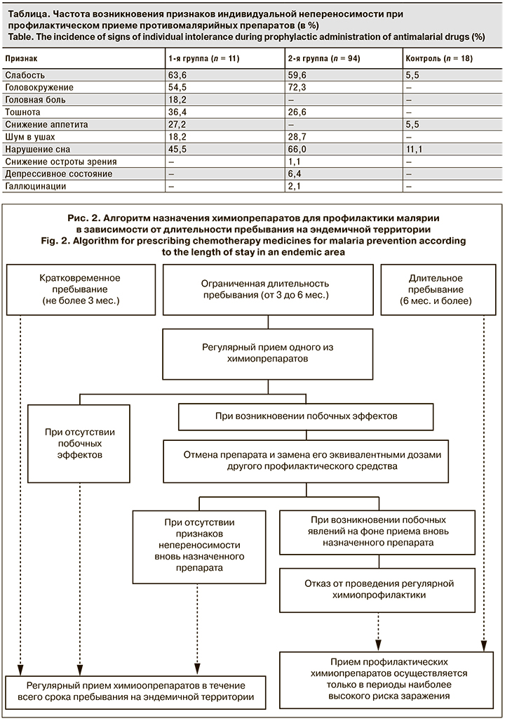
Через 4 мес. после начала приема препаратов доля лиц с признаками повышенной чувствительности в 1-й группе составила 8,3%, во 2-й – 29,7%. К концу 5-го месяца эти показатели возросли соответственно до 10,7 и 35,1% соответственно. У участников исследования в 1-й группе повышенная чувствительность к хлорохину проявлялась слабостью, кратковременной головной болью, шумом в ушах, снижением аппетита. Военнослужащие 2-й группы, принимавшие мефлохин, отмечали слабость, тошноту, нарушение сна. Были зарегистрированы случаи развития депрессии, а также снижение остроты зрения (см. таблицу).

Признаки побочного действия лекарственных препаратов были устойчивыми, что отражалось на работоспособности и качестве жизни обследуемых. В контрольной группе по сравнению с предыдущим периодом доля военнослужащих, предъявлявших соответствующие жалобы, существенно не изменилась. Спустя 6 мес. в 1-й группе доля лиц с признаками побочного действия хлорохина достигла 13,1%. Во 2-й группе химиопрофилактику с помощью мефлохина продолжали менее 50% лиц. Остальные военнослужащие прекратили прием препаратов или перешли на прием других профилактических средств.
Обсуждение
Анализ результатов проведенных исследований позволил сделать вывод о том, что при разработке комплексов противомалярийных мероприятий непрерывный курс приема химиопрепаратов следует планировать, как правило, на срок не более 3–4 мес. На основании полученных данных был разработан алгоритм назначения профилактических химиопрепаратов, учитывающий длительность предстоящего пребывания на эндемичной территории (рис. 2).
В дальнейшем разработанный алгоритм назначения химиопрепаратов был успешно использован нами при организации системы противомалярийной защиты воинских контингентов, участвующих в проведении миротворческих и гуманитарных операций на территории Таджикистана, Индонезии, а также в других эндемичных регионах мира. Представленный алгоритм имел особую эффективность при необходимости долгосрочного выполнения задач военной службы в условиях круглогодичной передачи возбудителей малярии.
Заключение
При кратковременном пребывании на эндемичной территории, сроки которого не превышают 3 мес., химиопрофилактика может служить основным способом профилактики малярии. Сохранение риска заражения более длительное время повышает вероятность формирования индивидуальной непереносимости профилактических препаратов. Это требует обязательного включения в комплекс противомалярийной защиты мероприятий по снижению риска заражения плазмодиями. Результаты исследования показали, что возможность непрерывного приема профилактических доз противомалярийных препаратов представляется маловероятной. При необходимости длительного пребывания на эндемичной территории химиопрофилактику целесообразно ограничить только периодами наиболее высокого риска заражения малярией. В этой связи существенно возрастает значение противомалярийных мероприятий, способствующих снижению риска заражения паразитами, а также мер, направленных на раннее выявление заболевания и эффективное лечение развивающейся инфекции.



